Elektronisches Stangenlademagazin MBL52tandem für optimale Drehergebnisse
Immer bestens geladen - Intelligenter Stangenlader ermöglicht kurze Rüstzeiten, schnellen Stangenwechsel und eine präzise Führung der Materialstangen
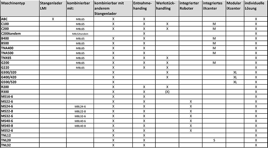
Kombinationsmöglichkeiten

Zahllose Patente, Neuentwicklungen und innovative Details gehen seit Beginn des modernen Maschinenbaus auf den Erfindergeist von INDEX zurück. Vielleicht ist das der Grund, warum in unseren Maschinen immer eine Idee mehr steckt. Unsere Maxime lautet, durch Spitzenleistungen die besten Drehmaschinen zu bauen. Nachfolgend bieten wir Ihnen einen Überblick über unser aktuelles Produktprogramm.

Finden Sie die richtige Maschine für Ihren Gebrauch mit unserem Maschinenselektor.
Der Selektor hilft Ihnen nur relevante Maschinen für Ihre Anwendung einzugrenzen.

Die INDEX & TRAUB Universaldrehmaschine genießt weltweit einen guten Ruf wenn es um die Zerspanung von großen Futter-, Wellen-, oder Stangenteilen geht. Durch Präzision, Wirtschaftlichkeit, kurze Rüstzeiten und einfache Bedienung setzen diese Maschinen Maßstäbe in ihrer Klasse. Ausgehend von einem Grundtyp können sie der jeweiligen Bearbeitungsaufgabe angepasst werden.





INDEX & TRAUB Dreh-Fräszentren setzen die Standards für wirtschaftliche, präzise und den Kundenbedürfnissen angepasste Problemlösungen. Standards, die von der klassischen Produktionsdrehmaschine bis hin zu maßgeschneiderten Bearbeitungszellen mit Handhabungseinheiten reichen. Zur Bearbeitung einfacher bis hochkomplexer Teile bietet INDEX wirtschaftlich und technisch überlegene Lösungen.











INDEX & TRAUB Produktionsdrehautomaten sind speziell für die schnelle, kostenoptimierte Fertigung typischer Automatendrehteile und aufwendiger NC-Drehteile ausgelegt. Die Flexibilität der CNC-Technik, verbunden mit der Schnelligkeit klassischer Automaten, erlaubt eine wirtschaftliche Fertigung in kleinen bis mittleren Losgrößen.





INDEX Mehrspindler verbinden die Vorteile der CNC-Technik mit den Vorteilen kurvengesteuerter Drehautomaten: Sie sind sowohl für die Serienfertigung einer breiten Palette von Präzisionsteilen als auch – wegen der enorm kurzen Rüstzeit – für kleinere Serien einsetzbar. In allen Fällen bestechen diese Mehrspindler durch hohe Wirtschaftlichkeit für den Anwender.









Langdreher von TRAUB sind ausgelegt für die Bearbeitung von Werkstücken bis 32 mm Durchmesser. Variantenvielfalt, Miniaturisierung und Präzision der Werkstücke definieren die Anforderungen an einen modernen Langdrehautomaten. Die Maschinen der TNL-Baureihe zeichnen sich durch höchste Leistungsfähigkeit in Kombination mit Rüst- und Programmierfreundlichkeit aus.






Sie suchen nach einer hochwertigen Fräs- oder Erodiermaschine?
Wir stehen Ihnen gerne mit umfassender Beratung zur Seite! Dank unserer starken Vertriebskooperation mit unserem Partner MAKINO ergänzen wir unser erstklassiges Angebot im Drehen und Drehfräsen um exzellente Lösungen für Fräsen und Erodieren. Entdecken Sie unsere Produktwelt und fordern Sie noch heute Ihr individuelles Angebot an – wir freuen uns auf Ihre Anfrage!

Sie haben eine Maschine aus unserem Hause und suchen nach den passenden Werkzeughaltern?
Wir haben natürlich die optimalen Halter für Sie und noch mehr: als kostengünstige Lösung haben wir Ihnen ideale Werkzeughalterpakete zusammengestellt.

Ein Plus an Flexibilität und Wirtschaftlichkeit. Erfahren Sie mehr über unsere Stangenlademagazine sowie maschinenintegrierte, roboterautomatisierte oder kundenspezifische Lösungen.

Immer bestens geladen. Die Stangenlademagazine sind ideal auf die INDEX & TRAUB CNC-Drehmaschinen für das einspindlige und mehrspindlige Drehen abgestimmt. Sie überzeugen durch kurze Rüstzeiten, schnelle Stangenwechsel und eine schwingungsarme Stangenführung die beste Oberflächenqualitäten ermöglicht.

Unsere Maschinen bieten Ihnen unterschiedliche Möglichkeiten der Werkstückabführung - schnell, sicher und schonend.

Intelligente Automation – ein Plus an Flexibilität und Wirtschaftlichkeit

Die passende Lösung für Ihre individuellen Anforderungen - mit langjähriger Erfahrung aus vielen Branchen:

Entdecken Sie das neue Bediensystem iXpanel – i4.0 ready für eine direkte Kommunikation mit Ihrer Betriebsorganisation und der Machinensteuerung. Oder erfahren Sie mehr über unsere Steuerungen, unsere hervorragende Programmier- und Steuerungssoftwares oder unsere Technologiepakete.

Das Bediensystem für die direkte Kommunikation mit Ihrer Betriebsorganisation. Fokus auf Produktion und Steuerung - Industrie 4.0 inklusive.

Erfahren Sie mehr über unsere Siemens, FANUC und TRAUB CNC-Steuerungen.

Ausgezeichnete Programmier- und Simulationssoftware Lösungen für INDEX & TRAUB Werkzeugmaschinen.

Technologie-Software auf INDEX und TRAUB Maschinen zur wirtschaftlichen Herstellung von Werkstücken.

Profitieren Sie von unseren kurzfristig verfügbaren INDEX und TRAUB Aktionsmaschinen.
Bei unseren Aktionsmaschinen handelt es sich in der Regel um vordisponierte oder vorab-produzierte INDEX- oder TRAUB-Drehmaschinen, sowie Messe- oder Vorführmaschinen - allesamt mit sehr geringer Betriebsstundenzahl.

Unsere Gebrauchtmaschinen werden von unseren qualifizierten Mitarbeitern und deren jahrzehntelanger Erfahrung im Maschinenbau modernisiert. Baugruppen werden in der Regel komplett demontiert, gereinigt und nach Bedarf neu lackiert. Gebrauchte CNC Drehmaschinen - so gut wie neu!
